Analisis jalur dikembangkan oleh Sewall-Wright pada tahun 1934. Menurut Streiner analisis jalur merupakan perluasan dari regresi linier berganda dan yang memungkinkan analisis model-model yang lebih kompleks, sebagai metode untuk menelaah pengaruh langsung dan tidak langsung dari suatu peubah. Yang mana beberapa peubah dinyatakan sebagai penyebab terhadap peubah lain yang dianggap sebagai peubah akibat. Hubungan sebab akibat tersebut dibandingkan sendiri oleh peneliti dan modelnya digambarkan dalam sebuah diagram jalur yang terdiri dari bentuk lingkaran dan anak panah. Dimana anak panah tunggal menunjukkan sebagai penyebab. Analisis jalur bukan merupakan metode untuk menemukan penyebab suatu hubungan, melainkan suatu metode yang digunakan untuk mendefinisikan model kausal yang telah dirumuskan secara teoritis atas dasar pengetahuan sebelumnya (Kerlinger dan Pedhazur, 1973).
Pengaruh langsung adalah besarnya pengaruh dari suatu peubah terhadap peubah lain tanpa melalui perantara peubah lain dalam model. Pengaruh tidak langsung adalah pengaruh yang ditimbulkan dari suatu peubah terhadap peubah lain dengan melalui perantara dari suatu peubah. Sedangkan pengaruh total adalah total dari seluruh pengaruh baik pengaruh langsung maupun pengaruh tidak langsung. Peubah yang tidak dipengaruhi oleh peubah lain di dalam sistem disebut dengan peubah eksogen, sedangkan peubah yang dipengaruhi oleh peubah lain disebut peubah endogen (Johnson dan Wichern, 1988).
Tujuan menggunakan analisis jalur (Path analysis) diantaranya sebagai berikut :
Pembuatan analisis jalur bertujuan untuk mempresentasikan hubungan kausal antar variabel dalam bentuk gambar agar semakin mudah untuk dibaca. Dalam analisis jalur, ada beberapa istilah variabel :
Ciri – ciri variabel eksogen :
Ciri – ciri variabel endogen :
Merupakan variabel yang berada diantara variabel independen dan variabel dependen. Dalam posisinya sebagai variabel intervening, variabel endogen dapat sebagai variabel dependen maupun independen.
Jika suatu variabel endogen mendahului variabel endogen lainnya, maka variabel tersebut merupakan variabel independen dan varoabel terakhri adalah variabel dependen.

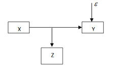
Interpretasi untuk gambar diatas yaitu variabel X tidak secara langsung mempengaruhi variabel Y namun melalui variabel Z.
Bagan dalam variabel intervening akan dijelaskan dalam gambar berikut :

Pada gambar diatas, dapat dijelaskan bahwa Earns dapat berpengaruh langsung terhadap Income, tetapi juga dapat berpengaruh secara tidak langsung melalui variabel Wealth.
Variabel moderating adalah variabel yang memperkuat atau memperlemah hubungan antara satu variabel dengan variabel lain. Variabel ini memodifikasi hubungan awal antara variabel independen dan variabel dependen karena hubungan awal kedua variabel tidak signifikan atau pengaruhnya rendah padahal secara teoritis pola tersebut sangat memungkinkan.

Interpretasi untuk gambar diatas yaitu kuat lemahnya pengaruh variabel X terhadap variabel Y tergantung pada variabel Z.
Bagan dalam variabel moderating akan dijelaskan dalam gambar berikut :

Pada gambar diatas dapat dijelaskan bahwa dengan adanya variabel kompensasi memperkuat pengaruh antara kepuasan kerja terhadap kinerja.
Asumsi-asumsi dasar analisis jalur (path analysis) antara lain :
Diagram jalur adalah sebuah grafik pola hubungan sebab akibat diantara sekumpulan variabel. Dalam diagram jalur, variabel dibedakan menjadi variabel eksogen yang ditentukan oleh penyebab di luar model kausal dan variabel endogen yaitu variabel yang dijelaskan oleh variabel eksgosen.

Tabel 1. Simbol-simbol Utama Diagram Jalur

Jl. Kramat Setu No.130, RT.006/RW.001, Bintara Jaya, Kec. Bekasi Bar., Kota Bks, Jawa Barat 17136
Anda butuh jasa olah data skripsi, tesis, konsultasi statistik dan pelatihan statistik?
Hubungi kami melalui media sosial kami atau
Phone : 089603614962
Email : mail@scsibekasi.org
© Copyright 2021. Statistics Center. All Right Reserved.